IDLE MIND IS DEVILS WORKSHOP: TREASON TO RESONATING STRUCTURES
Dear Friends,
As I was
discussing with my friends on mobility of charges and electrons, this thought
came into my mind. It just made me feel to share one incidence along with this
topic, I was wondering how over mindsets are dominated by these charges. We can
never be idle, rather we try to engage into several activities which people
feel that we are ideals. The fundamental differences between these things are
making me realize when we look up on charges, bonding structures in a benzene
ring. It is not saturated by formula, but it is stable because of resonating
bond structures in its hexagonal ring. When benzene can, why can’t we humans do
the same? We have to learn more from atoms and molecules which try to be mobile
in nature, if they are immobile they tend to give up completely. This amuses me
when we see the spirits of an atom/ a molecule.
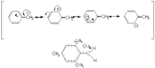
Resonating structures of Molecules.
Look at their activities, electrons are delocalised and mobile in nature to
Let me elucidate
with an instance which we come across in day to day life. Suppose if there is
an anger on some objective for which there is less support and more criticism,
if we don’t accept it, then how do we take it?
A man has two ways to deal with , when he is criticized..
One might
take it in positive manner, and the other might take it in negative manner, the
one who has taken it positive will be the one who is engaged with many
activities, the electrons in him is stable due to the resonance. He would
rather try to accept that criticism and build an organization with massive
support because of his mobile nature.
The other
way of taking this is by considering the one who doesn’t accept criticism, the
one who has taken it negatively is basically a lazy lousy fellow, who is
jobless with full of venomous thoughts will be idle and he is against nature
and he tries to put others down. This would rather try to land up in collapse
of an objective.
This is not just a message, its warning to all my lazy lousy friends...
My dear
friends, I just pray the almighty to give us all the strength of an atom, no
matter what happens, to keep myself stable, I need to work hard and ensure that
I am on with several tasks to keep busy as clocks ticking up. If we engage
ourselves in multidimensional activities, we will not plan to break an
objective. Let us work on the direction, whatever the criticism we get accept
it, then we must plan to build ourselves so much so that, we don’t deal with
any clumsy activities.
Baba Einstein's far sighted fear is true, but I hope this generation will surely change it.
Good
Night!



